11st year Exercise 1.3 Solution – Complex Numbers, Polynomials, and Factorization | New Syllabus Math 2025
Published by: www.mathuniverseonline.com
Exercise 1.3 from the Class 11 Mathematics Book 2025 brings together some of the most essential topics in algebra — complex numbers, polynomials, and factorization. This exercise plays a key role in building a strong base for solving algebraic problems, many of which will appear in board exams as both short and long questions.
In this part of the syllabus, students move beyond basic numbers and operations, entering the world of algebraic thinking and smart techniques to break down and solve mathematical expressions. Whether you're trying to prepare for board exams or just aiming to strengthen your concepts, Exercise 1.3 is one topic you shouldn't skip.
What This Exercise Teaches
Exercise 1.3 focuses on a few powerful techniques that help students simplify and solve algebraic problems. Let’s break them down in plain language:
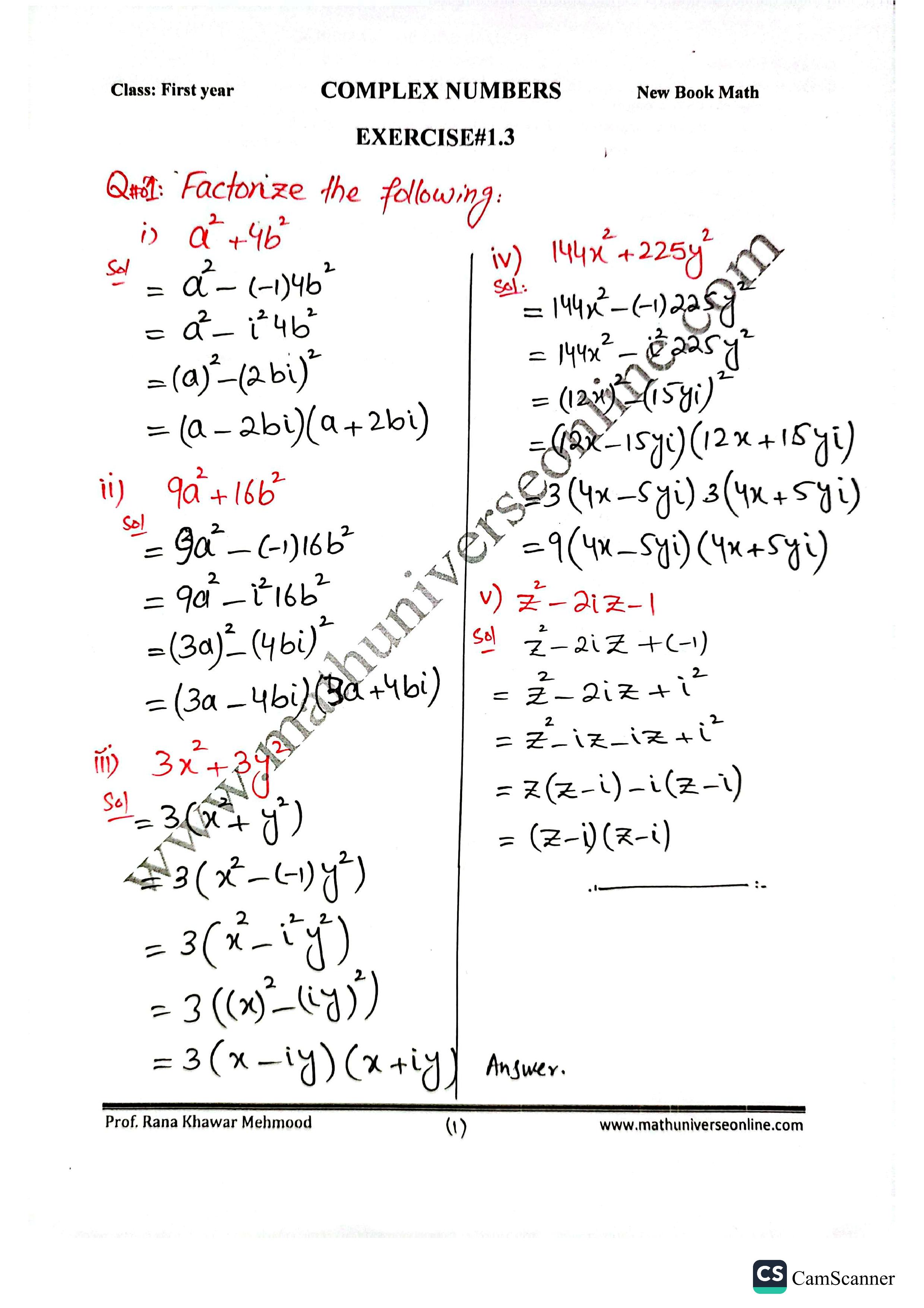
1. Factorization Method
The factorization method is all about breaking a big, complex expression into smaller, more manageable pieces. Think of it like taking apart a puzzle to see the individual pieces — once you see the parts, it becomes much easier to find a solution.
In our video lecture for this exercise, we explain the step-by-step method of how to factorize different kinds of expressions. This approach helps students recognize patterns and apply the correct method, especially when the questions involve complex combinations of terms.
2. Solving with Complex Numbers
Complex numbers are introduced early in the syllabus, and Exercise 1.3 shows how to apply the factorization method to solve problems that include both real and imaginary parts. Many students find this part tricky, but with clear explanation and examples, it becomes much more understandable.
The goal is to show that complex numbers follow the same logic — you just need to be careful with signs and operations. Once students understand how to manage the imaginary unit (commonly represented by "i"), the rest becomes much easier.
🔽 Ex 1.3 PDF Solutions:
3. Completing the Square Method
Sometimes, the direct factorization method doesn’t work. In such cases, students are taught the “completing the square” method. This is a clever trick to reshape an equation in a way that it becomes easier to solve.
This method is especially useful when solving equations that look too complicated at first. It helps in finding roots (solutions) when direct methods are not applicable. In our lecture, we use easy-to-follow steps that guide students through the process, even if they're seeing it for the first time.
4. Understanding Polynomials
Exercise 1.3 also introduces students to polynomials — special types of algebraic expressions that include variables raised to different powers. We teach how to create a polynomial when the roots (solutions) are already given, and how to reverse the process to find roots when the polynomial is given.
This is one of the most important skills in algebra because it forms the base for future concepts, including graphs, equations, and higher-level math topics.
Why This Exercise Matters
This exercise is not just another part of the syllabus. It holds real value when it comes to:
-
Board Exam Preparation: Many MCQs and short questions in board exams are directly based on the techniques covered in this exercise.
-
Concept Building: Understanding how to solve algebraic expressions helps in almost every other math topic.
-
Confidence Boosting: Once students are comfortable with factorization and complex numbers, they feel more confident moving into tougher parts of the syllabus.
Free Resources and Extra Help
To make things even easier for students, we have created step-by-step PDF notes for this exercise. These notes are available for free download on our website and include:
To keep learning:
Bookmark Math Universe Online for regular updates
👉 Visit: www.mathuniverseonline.com
Whether you’re a student looking for extra help or a teacher seeking easy teaching material, our platform is designed to support your academic journey.
📘 First Year Math Notes (Chapter-wise) – New Syllabus 2025
Watch and Learn
Don’t forget to subscribe to our YouTube channel: Math Universe by Sir Khawar. Our goal is to make math simple and easy for everyone. On our channel, you’ll find:
-
Topic-wise video lectures
-
Short tricks for board exams
-
Detailed explanations for every exercise
-
Live problem-solving sessions
Stay consistent, keep practicing, and always look for smart methods to solve problems — that’s the secret to success in math.
#ComplexNumbers, #Polynomials, #Factorization, #Exercise1.3, #FirstYearMath, #Math2025, #1stYearMath, #NewSyllabus2025, #FSCMathPart1, #MathUniverse, #SirKhawarLectures, #MathSolutions, #Class11Math, #ComplexNumberBasics, #PolynomialFactorization, #LearnMathOnline, #PunjabBoardMath, #MathMadeSimple, #MathNotes2025, #MathHelpPakistan
.jpeg)


















0 Comments