Exercise 5.1 – New First Year Math 2025 | Complete Solution of Partial Fractions by Sir Khawar Mehmood
In first-year mathematics, Chapter 5 titled "Partial Fractions" is one of the most important topics for students. It provides the foundation for many concepts in higher mathematics and appears frequently in board exams and entry tests.
Exercise 5.1 of the New First Year Math 2025 syllabus introduces the basic concepts of partial fractions, including key definitions, types of equations, and how to solve different forms of algebraic fractions. In this detailed lecture, Sir Khawar Mehmood explains every question from this exercise step by step in a clear and easy-to-understand way.
Let’s now go through the topics and concepts covered in this chapter as explained in the video lecture.
1. What Are Partial Fractions?
Partial fraction means breaking down a complex algebraic fraction into smaller, simpler parts. These smaller parts are called partial fractions.
For example, suppose we have a complicated fraction with two expressions multiplied in the denominator. We can write that single fraction as the sum of two separate fractions, each having only one of those expressions in the denominator. This is useful for simplifying expressions, solving equations, and especially for integration in calculus.
This process of breaking down a big fraction into simpler ones is called partial fraction decomposition.
2. Understanding Equations and Identities
Before solving partial fractions, it is important to understand the types of equations that we deal with.
A Conditional Equation is an equation that is true only for some specific values of the variable. For example, an equation like "x plus 2 equals 5" is only true when x equals 3.
An Identity is an equation that is true for all possible values of the variable. For example, expanding a binomial expression like "x plus 2 squared" always equals "x squared plus 4x plus 4". This is an identity because it works for every value of x.
In solving partial fractions, we often form identity equations where both sides are expanded and compared term by term.
3. What Is a Rational Algebraic Fraction?
A rational algebraic fraction is a fraction where both the top and bottom (numerator and denominator) are made up of algebraic expressions, usually polynomials.
There are two types:
Proper Rational Fraction
This is when the power (or degree) of the expression in the numerator is less than the power of the denominator.
Improper Rational Fraction
This is when the power of the numerator is equal to or greater than the power of the denominator.
If a fraction is improper, we first simplify it using long division. After that, we apply the method of partial fractions to the remaining part, which will now be a proper fraction.
4. Types of Partial Fractions Explained in Exercise 5.1
In this exercise, Sir Khawar Mehmood explains the first two major types of partial fractions.
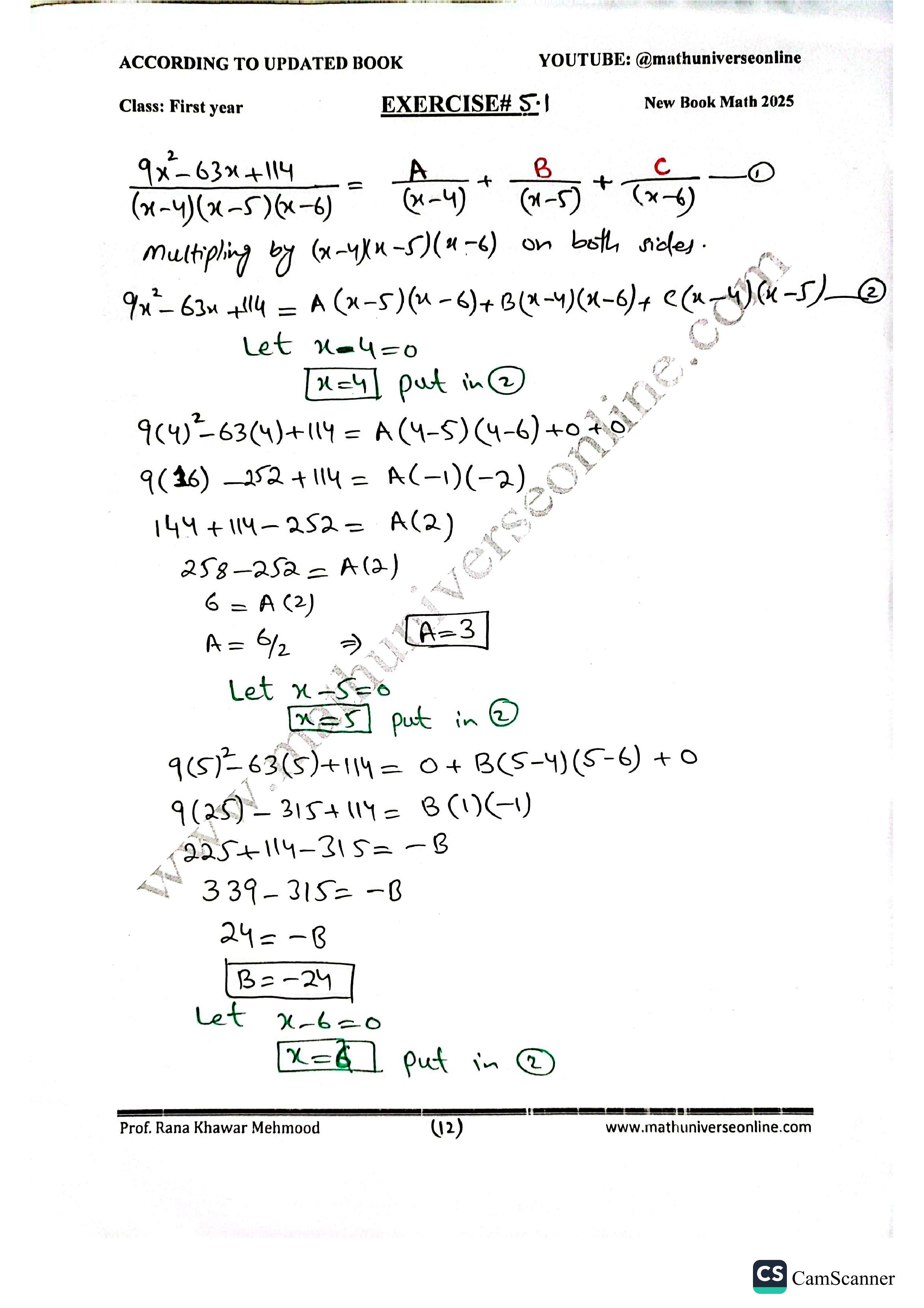
Case One: When Denominator Has Different Linear Factors
This is the most basic type. Here, the denominator is made of simple expressions, like x plus 1 or x minus 2, and each factor appears only once.
We split the given fraction into separate parts, each with one factor in the denominator and a constant in the numerator. Then, we multiply both sides of the equation to remove the denominators and solve for the unknown constants using substitution or by comparing terms on both sides.
Case Two: When Denominator Has Repeated Linear Factors
In this case, one or more expressions in the denominator appear more than once. For example, if we have something like "x minus 1" squared in the denominator, we use two separate fractions: one with "x minus 1" and another with "x minus 1 squared" in the denominator.
We again multiply both sides by the full denominator and solve for unknown constants.
These two cases form the foundation of Exercise 5.1. Sir Khawar Mehmood explains both in detail with multiple examples.
5. Complete Solution of Exercise 5.1
The video lesson contains the complete solution of every question from Exercise 5.1. In each question, the following steps are followed:
1. First, we identify if the given fraction is proper or improper.
2. If the fraction is improper, we use long division first.
3. We factor the denominator to identify what type of partial fraction it needs.
4. We write the partial fraction format using unknown constants.
5. We remove denominators by multiplying the entire equation.
6. We solve for the unknown constants by either plugging in smart values or comparing terms.
7. We write the final result clearly.
This process is repeated for all questions in the exercise. Every question is solved with step-by-step explanation, helping students to fully understand each technique.
6. Why Learning Partial Fractions Is Important?
partial fractions are not just for this chapter. They are used in many areas of math, including:
Calculus and integration
Engineering mathematics
Physics and electronics
Entry tests like ECAT, MDCAT, and others
By mastering partial fractions now, students will be better prepared for advanced topics in later classes and professional fields.
PDF SOLUTION:
7. Why Choose Sir Khawar Mehmood’s Video?
Sir Khawar Mehmood is a trusted name in mathematics education. Here’s why his teaching stands out:
Concepts are explained in simple Urdu and English mix for easy understanding.
Each step is explained logically, not just mechanically.
Students are guided about common mistakes to avoid.
He connects new concepts to earlier chapters to strengthen understanding.
The lecture is paced perfectly so students can write along with him.
8. Extra Tips for Students
Practice every question of the exercise by yourself after watching the video.
Try solving the identity equations using both substitution and comparison methods.
Remember that the type of denominator decides the form of the partial fractions.
Focus on neat and clear step-by-step solving in exams.
Don’t just memorize the method — try to understand why each step is done.
9. Conclusion
Exercise 5.1 is a very important part of first-year math. It lays the foundation for partial fraction decomposition, which is not only useful in algebra but also in many future topics. The lecture by Sir Khawar Mehmood gives students everything they need — from theory and definitions to solving techniques and complete exercise solutions.
If you want to build a strong base in algebra and score high in your board exams, make sure to watch this video completely and practice every question.
✅ Watch Now:
Topic: Exercise 5.1 – Partial Fractions
Teacher: Sir Khawar Mehmood
Channel: Math Universe by Sir Khawar
🖊️ Also, don’t forget to take notes and pause the video when needed.



























0 Comments